In wearables with biological indicators, the low-power/high-performance tradeoff is a nuanced design issue—especially since changes in blood pressure or pulse rate often amount to very small electrical signals. In order to interpret and distinguish between signals, EEs need to significantly amplify these signals, which becomes more difficult when using low supply voltages to save power.

Standard processing steps for a biological signal. Image used courtesy of Bolaños-Perez et al.
Approaching this problem head-on, researchers at the Terasaki Institute have made modifications to a well-studied device, the organic electrochemical transistor (OECT), to bring low power and high amplification to wearables.
What Are Organic Electrochemical Transistors?
The OECT is a unique form of transistor that operates on similar, yet very different principles than a typical MOSFET. The device structure of an OECT is like that of a MOSFET with a conducting channel between drain and source terminals and a gate electrode to modulate the channel current—all built on either a p-type or n-type substrate.
Where the two differ, however, is with what happens at the gate.

The device layout and working principle of OECTs. Image used courtesy of Friedlein et al.
Unlike a MOSFET, which has an oxide insulator between the gate and the channel, an OECT has an electrolytic substance (often a gel) between the two. Whereas a MOSFET uses an applied voltage to accumulate carriers and induce a channel, the applied gate voltage in an OECT serves to drive ions from the electrolyte into the channel and the bulk.

The MOSFET vs. the OECT. Image used courtesy of Friedlein et al.
This is the operating principle of an OECT, where the ions interact with the carriers in the channel to modulate the device's properties and the channel current.
Why OECTs Appeal for Medical Designs
An unconventional device, the OECT has many benefits, and some disadvantages, compared to a standard FET for medical applications.
Because the ions in the electrolyte penetrate the entire substrate, OECTs have extremely high gate capacitances—more than three orders of magnitude greater than a state-of-the-art high k dielectric FET. The result of this high capacitance is the ability to operate at very low voltages (down to ~0.5 V) and exhibit extremely high transconductance.
Together, these features mean that OECTs fit the needs of extremely low-power medical devices while achieving high levels of amplification.
Beyond this, these devices can also work as pressure sensors on their own, where pressure physically applied to the gate will compress the electrolyte, sending ions into the substrate and modulating the current. This has been a research focus, specifically for biological measurements where pressure can be very small.

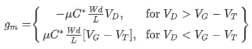
The transconductance equation for OECTs. Formula used courtesy of Friedlein et al.
The major drawback of OECTs, however, is the fact that the electrolyte used is often an aqueous solution, which generally does not respond well to external pressures. This is a limiting factor for OECTs in medical devices that often measure bodily pressures as part of their functionality.
Researchers Modify OECTs for Amplification and Power
In response to this limitation of OECTs, a team of researchers at the Terasaki Institute have come up with a critical modification to standard OECTs.

Pressure applied to the gate causes the ionic hydrogel to compress and sends ions into the channel. Image used courtesy of Yangzhi et al.
As explained in a publication on the study, the researchers created an OECT that uses an “ionic hydrogel” as the electrolyte at the gate as opposed to a conventional aqueous solution. This charged hydrogel ended up being the perfect solution—a functional electrolyte that responds sensitively to external pressures, allowing for ion transportation and achieving high gains at low powers.

Resulting biometric pressure sensor. Image used courtesy of the Terasaki Institute
The resulting device was shown to operate at voltages of less than 1 V with power consumption around 10 uW and a pressure sensitivity from 1-10 kPa.
Do you work in the medical device industry? If so, how have you addressed the low-power/high-performance tradeoff intrinsic to biomedical devices today? Share your experiences in the comments below.
